亚洲色视频福利在线观看_免费无遮挡Av网站_成年女人喷潮毛片免_自拍偷在线精品自拍偷
Welcome to
Xinyang Longye Chemical Co.,Ltd.
Mr.Zhang +86-15737681111 +86-15803972299
CHINESE
ENGLISH
ABOUT US
PRODUCTS
Antioxidants
UV Absorbers
Light Stabilizers
Optical Brighteners
Nucleating Agents
Anti-Hydrolysis Agent
Halogen Free Flame Retardants
Blue-Light Absorbers
Others
Dangerous chemicals scope of business license
NEWS
VIEW
CONTACT US
CHINESE
ABOUT US
PRODUCTS
NEWS CENTER
ORDER
CONTACT US
CHINESE
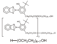
UV-1130
Next:
UV-1789
Back
Prev:
UV-988
?